I’m broadly interested in all kinds of natural and engineering science, from nano-, micro- to macro-scales. Specifically, I have been involved in the following topics:
Peeling Mechanics of Soft Tapes
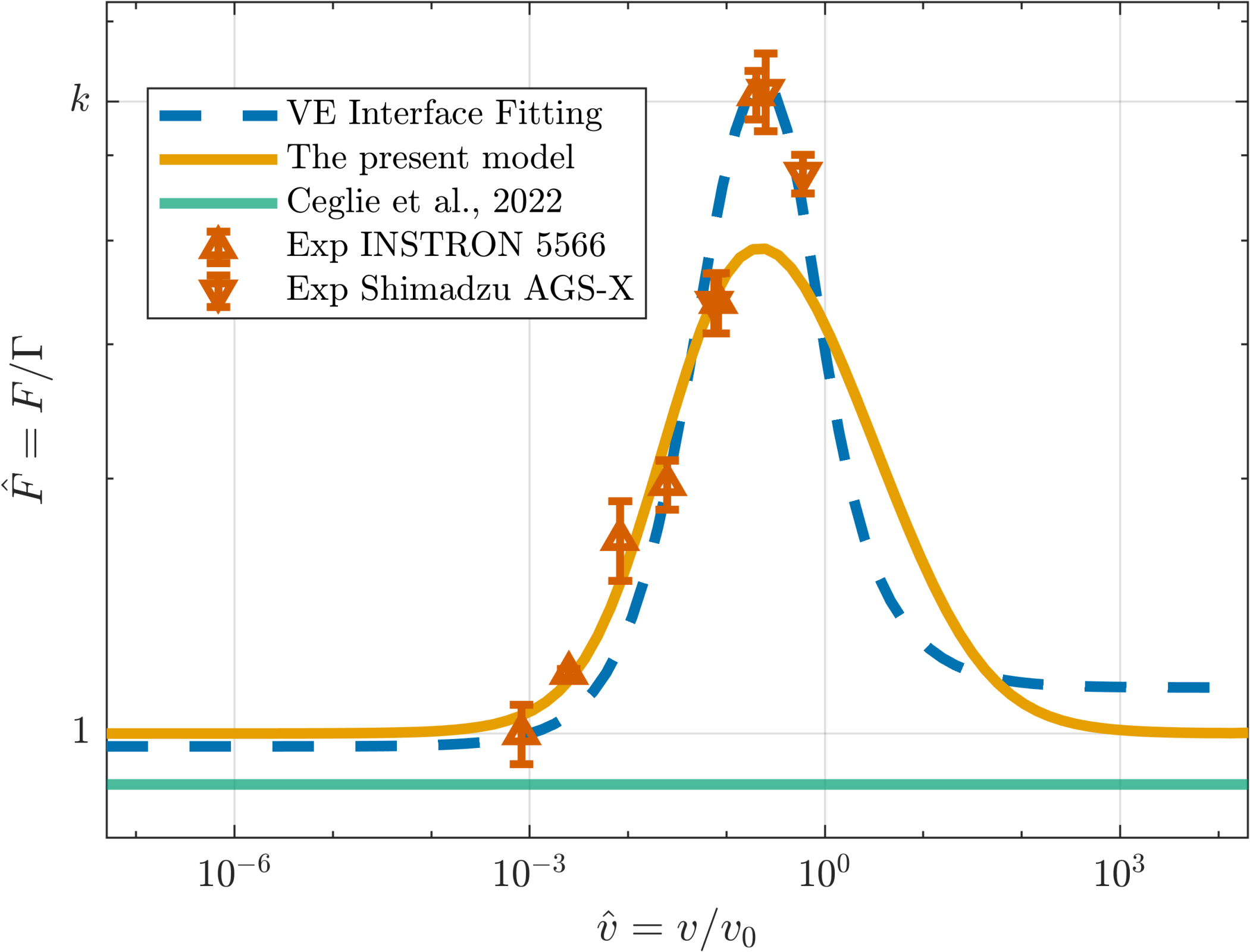
Peeling tests are a standard method for measuring interface properties such as interface strength and toughness. A standard peel test involves adhering a film to a flat substrate and applying a force at the end of the film to initiate peeling. Soft materials are a category of substances characterized by low moduli (ranging from 102 to 106 Pa) and the capacity for large deformations, often accompanied by significant time-dependent behaviors, namely viscoelasticity. These materials are ubiquitously found in nature, such as in various biological tissues, and there are also many types of synthetically produced soft materials, such as various hydrogels and rubbers. We address the 90-degree peeling problems for a viscoelastic backing tape with conservative cohesive law and an elastic backing tape with rate-dependent cohesive law, respectively, and provide a corresponding discussion of the results.

The Ratio of Static Friction over Dynamic Friction
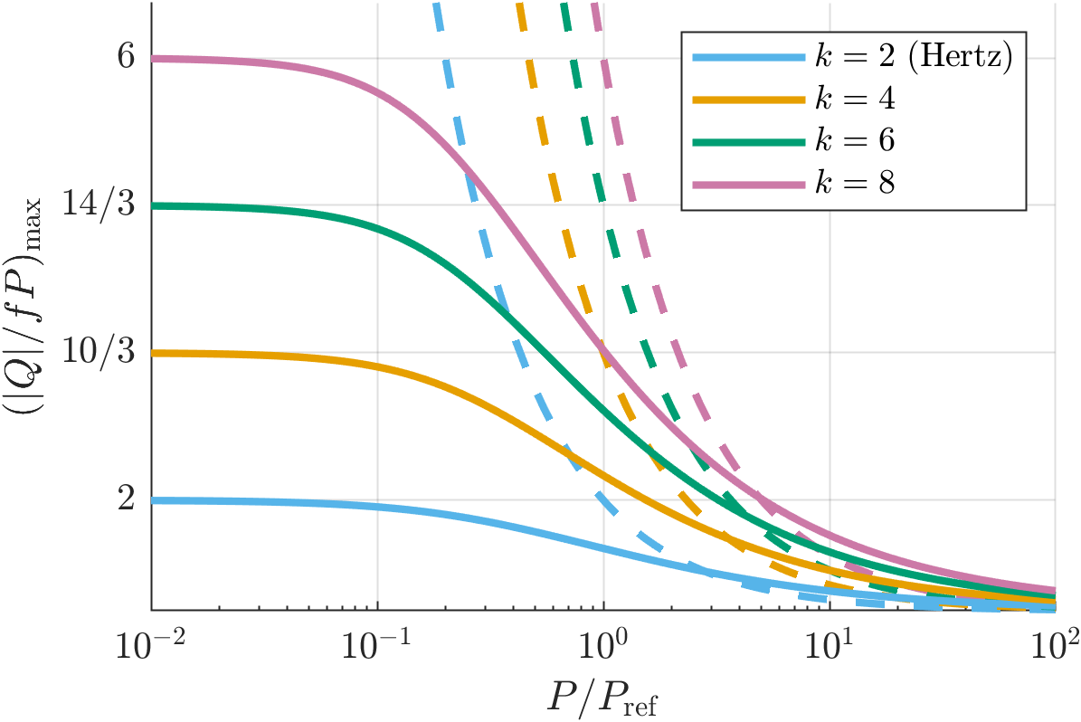
Classical friction theories state that the friction coefficient is independent of geometry, depending only on the real contact area determined by roughness. However, experimental evidence shows significant differences between static and dynamic friction coefficients. Recent models introduce an energetic theory for friction, analogous to the Griffith theory for fracture, proposing a constant dynamic friction coefficient at heavy loads but a geometry-dependent static coefficient. We show that, for power-law punches, the ratio of static to dynamic friction coefficients at low normal loads depends solely on the power-law exponent, with flatter profiles exhibiting higher friction ratios. This may explain the observed variability in friction ratios. The model’s predictions align well with recent experimental results.
